MỘT SỐ BÀI THÍ NGHIỆM THỰC HÀNH THEO CHƯƠNG TRÌNH OLYMPIC 7
Bài 7. Phân tích định lượng Axit Ascorbic trong viên Vitamin C
Lí thuyết
Thành phần chính trong vitamin C thương mại là axit ascorbic (H2C6H6O27, FW = 176,12). Axit ascorbic vừa là một axit, vừa là một chất khử, do đó, cả chuẩn độ axit-bazơ và chuẩn độ oxi hóa khử đều có thể sử dụng để xác định lượng axit ascorbic trong những viên vitamin C thương mại.
Vitamin C là 1 chất chống oxy hóa cần thiết đối với dinh dưỡng của con người. Thiếu vitamin C có thể dẫn đến bệnh scurvy (scobat) đặc trưng khiến cho xương và răng không bình thường và một số bênh khác.
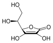
Vitamin C là tên thường gọi của axit L-ascorbic (AsA), có danh pháp quốc tế là 2-oxo-L-threo-hexono-1,4-lactone-2,3-enediol, CTPT C6H6O6 (M= 176,1g/mol), CTCT như sau:
Trong công thức cấu tạo của ascorbic ta nhận thấy có C4 và C5 là 2 cacbon bất đối xứng, vì vậy ascorbic có 4 đồng phân quang học là axit L-ascorbic, axit izo L-ascorbic, axit D-ascorbic và axit izo D-ascorbic. Trong số các đồng phân này chỉ có axit L-ascorbic và izo L-ascorbic là có tác dụng chữa bệnh còn 2 đồng phân còn lại là các kháng vitamin, tức là ức chế tác dụng của vitamin. Trong tự nhiên chỉ tồn tại dạng axit L-ascorbic, các đồng phân còn lại được tạo ra theo con đường tổng hợp.
Axit ascorbic tồn tại ở dạng tinh thể hoặc bột kết tinh trắng hoặc hơi ngà vàng, không mùi, có vị chua, tan nhiều trong nước (300g/lít), ít tan hơn trong rượu và không tan trong chloroform, benzene hay các dung môi hữư cơ không phân cực.
Axit ascorbic rất dễ bị phân hủy dưới tác dụng của ánh sáng và nhiệt độ. Dung dịchaxit ascorbic không bền, rất dễ bị oxy hóa dưới tác dụng của oxy không khí, đặc biệt là khi có mặt một số kim loại nặng: Fe, Cu … Vì vậy cần phải bảo quản vitamin C trong bóng tối và nhiệt độ thấp.
Hóa tính của vitamin C là hóa tính của nhóm chức lacton, của các nhóm hydroxyl, của liên kết đôi, song quan trọng nhất là nhóm chức endiol. Chính nhóm này quyết định tính axit và tính khử của axit ascorbic.
Nguyên tắc phương pháp
1. Phương pháp axit – bazơ
Trong dung môi nước, axit ascorbic là axit phân ly hai nấc với các giá trị pKa lần lượt bằng 4,2 và 11,6 tương ứng với sự phân ly H+ của nhóm –OH đính vào C3 và C2 .
Axit ascorbic dễ dàng phản ứng với các dung dịch kiềm để tạo muối.
Để định lượng axit ascorbic có thể dùng phản ứng chuẩn độ nấc 1 với NaOH, chỉ thị phenolphatalein.
1. Phương pháp oxi hóa khử:
Axit L- ascorbic bị oxi hóa thành axit L- dehydroascorbic theo bán phản ứng oxihóa sau đây ( E0= 0,127V ở pH=5)
Quá trình oxy hóa ascorbic xảy ra ở hai mức độ khác nhau:
- Sự oxy hóa thuận nghịch vitamin C thành axit dehydroascorbic: tính chất này vô cùng quan trọng đối với tác dụng sinh học của axit ascorbic là tham gia xúc tác các quá trình oxy hóa khử xảy ra trong cơ thể.
- Sự oxy hóa bất thuận nghịch biến vitamin C thành các sản phẩm khác không có hoạt tính và biến màu. Phản ứng này tăng nhanh theo pH và nhiệt độ của dung dịch.
Các chất oxy hóa thường dùng để oxi hóa axit ascorbic là: brom, iot, thuốc thử Fehling, dung dịch KMnO4, dung dịch AgNO3, 2,6-diclorophenolindophenol…. Phương pháp chuẩn độ được tiến hành bằng cách nhỏ từ từ dung dịch thuốc thử từ buret vào dung dịch có chứa axit ascorbic trong môi trường thích hợp. Điểm tương đương được nhận nhờ sự chuyển màu của dung dịch khi có chất chỉ thị thích hợp.
Phương pháp này có thể áp dụng để xác định trực tiếp vitamin C trong các mẫu thực phẩm. Trong các đối tượng khác như rau quả, thực phẩm, nước giải khát có thành phần tương đối phức tạp, chứa nhiều chất khử khác nhau, dung dịch đục và có màu, gây khó khăn trong việc xác định điểm cuối của quá trình chuẩn độ.
Trong thí nghiệm này hàm lượng vitmain C trong viên nén được xác định bằng phương pháp chuẩn độ axit- bazơ hoặc chuẩn độ oxi hóa khử. Axit ascorbic được xác định dựa trên phản ứng oxi hóa nó bằng iot (trong KI dư) theo phương pháp chuẩn độ trực tiếp với chất chỉ thị hồ tinh bột.
Thí nghiệm này gồm hai phần, phần đầu dùng chuẩn độ axit-bazơ để xác định lượng axit ascorbic trong một viên vitamin C. Phần thứ hai dùng chuẩn độ oxi hóa khử để thực hiện xác định tương tự.
Sự đánh giá được dựa trên sự chính xác của mỗi phép chuẩn độ. Tính 30% cho chuẩn độ axit-bazơ, tính 60% cho chuẩn độ oxi hóa khử và 10% cho sự so sánh hai phương pháp.
KIỂM TRA THUỐC THỬ VÀ THIẾT BỊ TRƯỚC KHI THÍ NGHIỆM
| Thuốc thử | Thiết bị |
| Dung dịch NaOH (trên nhãn có ghi nồng độ) | Ống đong |
| 10 mL x 1 | |
|
| 100 mL x 1 |
| Dung dịch Thiosunfat (Na2S2O3) (trên nhãn có ghi nồng độ) | Cốc thủy tinh |
| 100 mL x 2 | |
| Dung dịch Iod (0.01 M) | 250 mL x 2 |
|
|
|
| Chất chỉ thị | Bình Erlenmeyer |
|
| 125 mL x 4 |
| Dung dịch Phenonphtalein | 250 mL x 2 |
|
|
|
| Dung dịch metyl đỏ | Giấy lọc x 10 |
|
| Giấy cân x 10 |
| Dung dịch hồ tinh bột | Mold and Pastel 1 bộ |
|
| Buret (1 rack) x 2 |
|
| Buret Brush x 1 |
|
| Bình định mức, 100 mL x 1 |
|
| Spatula x 1 |
|
| Phễu x 1 |
|
| Pipet (20 mL) / Bơm an toàn 1 bộ |
|
| Pipet Pasteur (ống nhỏ giọt) x 6 |
|
| Bàn chải x 1 |
Tiến hành:
Hòa tan viên vitamin C trong nước, lọc nếu cần thiết. Thể tích cuối cùng của dung dịch nên là 100 mL.
Chuần bị các dung dịch:
* Dung dịch vitamin C chuẩn:
Cân chính xác lượng cỡ 0,1 gam axit ascorbic trên cân phân tích và chuyển định lượng vào bình định mức dung tích 250 ml. Thêm khoảng 2 gam axit oxalic vào bình định mức, thêm định mức đến 2/3 thể tích bình và lắc đều cho chất rắn tan hết sau đó định mức đến vạch mức bằng nước cất. Nút kín bình để tránh sự oxi hóa của oxi không khí. Dung dịch này được dùng để chuẩn độ dung dịch iot.
* Dung dịch iốt:
Hòa tan 5 g KI và 0,268 g KIO3 trong 200 ml nước cất, thêm 30 ml axit sunfuric 3 M và chuyển vào bình định mức 500 ml, định mức đến vạch mức, ta được dung dịch KI3
Phần 1: Chuẩn độ axit-bazơ.
1-1 Dùng pipet pipet 10 mL hút dung dịch trên cho vào một bình Erlenmeyer. Chọn chất chỉ thị thích hợp để thực hiện sự chuẩn độ.
1-2 Lập lại 3 lần bước thứ 2.
Phần 2: Chuẩn độ oxi hóa khử
2-1 Sử dụng dung dịch thiosunfat chuẩn để xác định nồng độ dung dịch iod đã cho.
2-1-1 Dùng pipet 20 mL đưa dung dịch iodin vào bình Erlenmeyer, rồi chuẩn độ bằng cách sử dụng dung dịch Na2S2O3 chuẩn. Dùng tinh bột làm chất chỉ thị.
2-1-2 Lập lại 3 lần bước thứ 4.
2-2 Xác định lượng axit ascorbic.
2-2-1 Dùng Pipet 10 mL đưa dung dịch từ bước 1 vào bình Erlenmeyer. Thêm vào vài giọt tinh bột làm chất chỉ thị và chuẩn độ với dung dịch iod.
2-2-2 Lập lại 3 lần bước thứ 6.
Bảng dữ liệu 3
3-1 Chuẩn độ axit - bazơ
Chuẩn lần 1 Dung dịch Vitamin C mL; Dung dịch NaOH đã dùng mL
Chuẩn lần 2 Dung dịch Vitamin C mL; Dung dịch NaOH đã dùng mL
Chuẩn lần 3 Dung dịch Vitamin C mL; Dung dịch NaOH đã dùng mL
3-2 Chuẩn độ oxi hóa khử
3-2-1 Xác định nồng độ iot
Chuẩn lần 1 Dung dịch Iod mL; Dung dịch Na2S2O3 đã dùng mL
Chuẩn lần 2 Dung dịch Iod mL; Dung dịch Na2S2O3 đã dùng mL
Chuẩn lần 3 Dung dịch Iod mL; Dung dịch Na2S2O3 đã dùng mL
3-2-2 Xác định axit ascorbic
Chuẩn lần 1 Dung dịch Vitamin C mL; Dung dịch Iod đã dùng mL.
Chuẩn lần 2 Dung dịch Vitamin C mL; Dung dịch Iod đã dùng mL.
Chuẩn lần 3 Dung dịch Vitamin C mL; Dung dịch Iod đã dùng mL.
Câu hỏi
7-1 Giả sử axit ascorbic là một đơn axit, dùng dữ liệu từ chuẩn độ axit-bazơ để tính lượng axit ascorbic trong cả viên vitamin C.
7-2 Phản ứng của I2 với Na2S2O3 như sau:
2 S2O32- + I2 ® S4O62- + 2I-
Tính nồng độ dung dịch iod.
7-3 Phản ứng của axit ascorbic với I2 là:
H2C6H6O6 + I2 ® C6H6O6 + 2 I- + 2H+
Tính lượng axit ascorbic trong cả viên vitamin C
7-4 So sánh ưu điểm và khuyết điểm của hai phương pháp chuẩn độ.

Trang Trước
No comments: